福建省龍巖地區工業設計院在設計淀粉水解葡萄糖生產線項目時,根據淀粉水解的化學反應機制和工藝操作條件對舊有的搪玻璃反應釜進行重新改造,改造前后的情況如下。
1原先的搪玻璃反應釜(圖1)


(1)反應釜底部橢圓形封頭中心蒸汽進口因無法進行改造安裝噴蒸器,導致釜內淀粉乳受熱不均勻,化學反應失控,加劇葡萄糖的分解反應和復合反應生成復合二糖及其他有機酸,造成淀粉和蒸汽的損耗浪費。另封頭折邊處形成蒸汽加熱死角區,該處淀粉受熱微弱糊化生成糊精,影響糖化液產品質量。
(2)糖化液從頂部出料不易排凈釜底存留殘液,在瞬間真空負壓高溫下發生激烈化學反應生成黑色素等有害物質,并在釜底結垢。
(3)反應釜操作過程頻繁的關停制控產生流體變動,荷載變化及溫度壓力的波動引起設備間斷性震動。糖化時強酸高溫高壓的惡劣條件伴隨化學反應的復雜激烈機制產生的熱應力及設備本身存在局部應力的峰值效應,在交變應力的作用下,反應釜的抗疲勞和耐蠕變性隨時間延續,塑性變形不斷積累而逐漸減弱,因搪玻璃材質比A3鋼差而工作條件愈加苛刻,首先產生疲勞裂紋和腐蝕裂紋,在一定的條件下迅速開裂擴展局部破損脫落。尤其是蒸汽接管根部周邊更為嚴重,其原因是根部幾何形狀突變結構不連續性產生局部應力和峰值應力,蒸汽噴入釜內在根部發生突變,直接沖擊根部周邊,因而該處的受力較大,峰值應力較高,搪瓷更易損傷破壞,并且不宜修復使用。
2重新研制設計的新型結構襯瓷糖化反應釜設計和應用的主要特征如下(參見圖2、圖3)




(1)反應釜底部采用半角30。錐形折邊封頭,中心開設蒸汽進口并安裝新式蘭花型噴蒸汽器(噴蒸汽器均布不同角度的射蒸汽孔)。這種加熱結構和方式有利淀粉乳受熱均勻、充分水解而轉化為葡萄糖。同時減輕蒸汽對進蒸汽接管根部周邊的直接沖擊及因受力突變引起的峰值應力和熱應力增強所導制的破損程度。
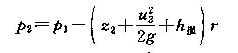
(2)放料接管開設在錐形封頭偏下方位置,有利于釜內糖化液集合排凈,同時解決釜內糖化液排放快速與緩沖罐排蒸汽煙囪口飄逸糖化液污染周邊環境及危害安全生產的矛盾。根據柏努利方程式,釜內糖化液6min內排凈經降壓過渡放料管進入緩沖罐(設置在車間屋面>此時糖化液在緩沖罐的進口處壓力p2為:

經計算放料管徑的變化對
的系數影響甚微,如DN100與DN80在同等條件下
系數相差0.24,因而常用采取加大放料管徑解決糖化液排放矛盾不十分經濟合理,應從提高糖化釜與緩沖罐垂直高度z2或h損的總量尋求較佳方案。本設計將頂部出料接管設置于底部,并采用錐形封頭結合蘭花型噴蒸器的結構較好地解決了糖化液排凈和速度與排放時間和糖液飄逸的矛盾。
(3)糖化釜筒體中部增設蒸汽接管作為蒸汽加熱輔助源。即淀粉乳進料完畢為提高釜內淀粉乳的升溫速度促進淀粉水解轉化,短時間開啟使用補充熱源。
(4)選用耐酸耐熱瓷磚配制酚醛一一橡膠粘合劑代替搪玻璃內襯體。并采用先進制作技術在A3鋼與瓷磚內襯體中間增加一層耐酸耐熱橡膠,其設計目的是:①利用橡膠本身良好的彈性緩解反應釜受內壓又受外壓的雙重作用力及蒸汽加熱對根部周邊的沖擊力,增加設備的抗震性,耐疲勞性和耐蠕變性。②利用橡膠優良的粘合性能增強A3鋼與瓷磚的粘結力,同時也便于瓷磚局部損傷的修復,提高設備利用率。
襯瓷糖化反應釜經多年實踐考核綜合評價:
(1)蒸汽加熱系統結構設計合理,淀粉乳受熱均勻促進化學反應順利,故淀粉轉化葡萄糖收率高,產品質量上乘。淀粉及蒸汽的消耗量明顯下降,企業的各項經濟技術指標均達國內先進水平。
(2)設備的制作采用先進技術,在A3鋼殼體與瓷磚內襯體中間增層耐酸耐熱橡膠,提高設備的完好率和利用率。
(3)蘭花型噴燕器結構設計新穎獨特,采用全銅鑄造便于加工制作和安裝且造價低。
(4)錐形封頭及放料管的設計解決了釜內糖化液的排凈、準時、時間速度與糖化液從排蒸煙囪口飄逸污染周邊環境和危害安全生產的矛盾。




